The normal distribution is a function that represents the distribution of many random variables as a symmetrical bell-shaped graph.

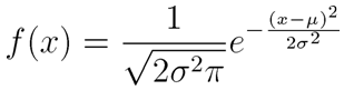
The probability function for the normal distribution will be

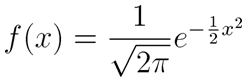
The simplest case of a normal distribution is known as the standard normal distribution. This is a special case when μ = 0 and σ = 1.

The probability function for the standard normal distribution will be

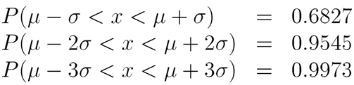
In normal distribution, 68%, 95%, and 99.7% of the values lie within one, two and three standard deviations of the mean.


What is the probability for a random variable x to have a value greater than 147 in a normal distribution whose μ = 100 and σ = 16?
NORMAL DISTRIBUTION
Your Input:
Random variable x = 147
Significance level =
Mean = 100
Standard deviation = 16
Probability Density Function (PDF)
x f(x)
----------------+-------------------+
36.00 0.0000 |
42.40 0.0000 |
48.80 0.0001 |
55.20 0.0005 |
61.60 0.0014 |*
68.00 0.0034 |***
74.40 0.0069 |******
80.80 0.0121 |**********
87.20 0.0181 |***************
93.60 0.0230 |******************
100.00 0.0249 |********************
106.40 0.0230 |******************
112.80 0.0181 |***************
119.20 0.0121 |**********
125.60 0.0069 |******
132.00 0.0034 |***
138.40 0.0014 |*
144.80 0.0005 |
151.20 0.0001 |
157.60 0.0000 |
164.00 0.0000 |
----------------+-------------------+
Cumulative Distribution Function (CDF)
x F(x)
----------------+-------------------+
36.00 0.0000 |
42.40 0.0002 |
48.80 0.0007 |
55.20 0.0026 |
61.60 0.0082 |
68.00 0.0228 |
74.40 0.0548 |*
80.80 0.1151 |**
87.20 0.2119 |****
93.60 0.3446 |*******
100.00 0.5000 |**********
106.40 0.6554 |*************
112.80 0.7881 |****************
119.20 0.8849 |******************
125.60 0.9452 |*******************
132.00 0.9772 |********************
138.40 0.9918 |********************
144.80 0.9974 |********************
151.20 0.9993 |********************
157.60 0.9998 |********************
164.00 1.0000 |********************
----------------+-------------------+
___
--- ---
-- --
-- | --
___-- | --___
--------------+----+---------
x
x = 147
P(X < 147) = 0.998346
P(X > 147) = 0.001654 (1.65E-3)
Properties of the PDF
Mean = μ = 100
Median = μ = 100
Mode = μ = 100
Variance = σ² = 256
Standard deviation = σ = 16
Skewness = 0
Ex. kurtosis = 0